行业知识
新闻资讯
- 诚挚邀请您出席《粤港澳物理学会2025联合年会暨量子科技论坛》
- 诚挚邀请您出席《全国光学与光学工程 2025博土笔学术联赛》
- 诚挚邀请您出席《2024年广东省物理学会学术年会暨中山大学物理学科百年论坛》
- 诚挚邀请您出席《2023粤港澳大湾区智能微纳光电技术学术会议》
联系我们
联系人: 周先生
手机: 13288666664
电话: 020-38880135 020-38880857
邮箱: sales01#gzyuli.com
地址: 广州市天河区儒林大街后园路35号E座107房
行业知识
激光光学系统的像差影响
作者: 发布时间:2022-06-02 11:08:17点击:755
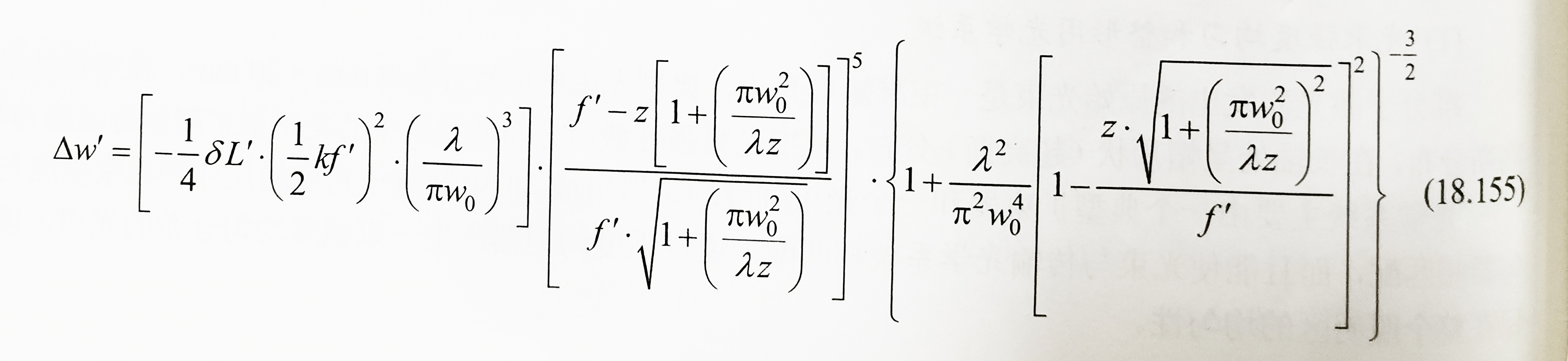
通常按激光光学理论确定系统方案,用几何光学理论设计激光光学系统。激光光束通过光学系统后,最感兴趣的是高斯光束像方腰斑半径W'0 和束腰位置Z' ,但是光学系统的球差会对像方束腰尺寸产生影响,像方腰斑半径因球差产生的变化量为

式中,W0 和z 分别为激光束的物方束腰半径和束腰到透镜的距离;f' 为变换光学系统的总焦距;k为相对孔径;δL' 为系统初级球差。可从式(18.55)推导出,当z 处于一定范围内时【可以把常数量代入式(18.55)求出这个范围】,球差对束腰半径的影响是不容忽视的。对于中、短焦距的光学系统,设计时应根据不同的z 值决定是否考虑系统球差对束腰的影响,而对于长焦距的光学系统,无论z 处于任何位置,可忽略球差对束腰的影响。
相关标签:
新闻资讯
-
2025-10-30 10:15:28
固定式镜架(公制/英制尺寸共用) LHF-S
-
2025-10-29 10:08:16
固定式镜架(薄透镜) LHG
-
2025-10-28 10:02:35
光轴变换组件 BSRU
-
2025-10-23 10:57:52
光轴变换件 BSR
-
2025-10-22 10:55:10
大型精密万向式镜架 MHD
-
2025-10-21 10:51:27
2维上方可调镜架 / LMHB
客服1